科研成果
近日,我校化学与材料学院青年教师韩小峰博士在手性半缩醛合成方面取得重要进展,并以第一作者将研究成果“Reaction engineering blocks ether cleavage for synthesizing chiral cyclic hemiacetals catalyzed by unspecific peroxygenase”在国际顶级期刊《Nature Communications》上发表。内蒙古民族大学为该成果的第一完成单位。
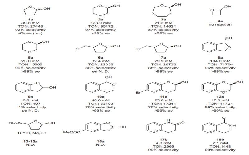
半缩醛在化学合成和药物开发中是非常重要的合成中间体。传统化学法合成中,半缩醛的合成主要通过醇和醛/酮之间的加成反应,或采用金属催化剂还原内酯来获得。除此以外,手性半缩醛的立体选择性控制也具有一定的挑战性。虽然酶法催化在有机物合成方面具有广泛的应用,但由于酶催化通常在水介质中完成,而半缩醛在水中极度不稳定,所以酶法合成手性半缩醛鲜有报道。
研究团队通过分子动力学模拟和量子化学计算,提出了过氧合酶(AaeUPO)催化环醚转化为半缩醛,进而转化为内酯的可能反应机理。这项工作展示了手性半缩醛合成的一种新方法,为过氧合酶在合成化学中的应用奠定基础。

图1. 论文截图

图2.(a)过氧合酶催化环醚底物反应路径;(b)固定化载体筛选;(c)产物浓度-时间曲线

图3. 底物扩展

图4. 反应机理研究
原文链接: https://www.nature.com/articles/s41467-024-45545-z